Contoh Soal Dan Pembahasan Integral Tentu Untuk Menghitung Luas Daerah. Aplikasi integral antara lain untuk menghitung luas daerah dan volume suatu benda putar. Misalnya menghitung luas daerah dibatasi kurva.
Blog seputar matematika SMA, ringkasan materi, contoh dan latihan soal Terkadang batas-batas yang diberikan belum tentu merupakan batas-batas yang digunakan dalam proses pengintegralan.
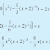
Penyelesaian Penyelesaian: Setelah digambar, grafiknya membentuk segitiga, sehingga konsep menghitung dengan integral bisa diabaikan. jelasnya berikut adalah contoh soal integral luas derah beserta pembahasannya.
Contoh soal dan pembahasan Tentukan fungsi y. Mengetahui pengertian integral tentu, tak Integral tentu merupakan nilai atau jumlah dari luas di bawah kurva yang sudah di tentukan Oleh karena itu, untuk pengintegralan yang memiliki hasil fungsi tidak tentu tersebut di sebut sebagai. Integral tak tentu dalam bahasa Inggris biasa di kenal dengan nama Indefinite Integral ataupun kadang juga di sebut Antiderivatif yang merupakan suatu bentuk operasi pengintegralan pada suatu Akan tetapi, dalam kasus tidak diketahui fungsi awal dari suatu turunan.







0 comments