Contoh Soal Limit Tak Hingga Bentuk Akar Dan Pembahasannya

Contoh Soal Limit Tak Hingga Bentuk Akar Dan Pembahasannya. CONTOH SOAL DAN PEMBAHASANNYAVidio dalam Channel Math & Sains menyediakan konten tentang vidio pembelajaran matematika, sains beserta. Metode perkalian sekawan umumnya digunakan untuk menentukan limit fungsi berbentuk akar.

14+ Contoh Soal Limit Tak Hingga Akar
14+ Contoh Soal Limit Tak Hingga Akar (Belle Harrington)
Contoh Soal Pertidaksamaan Irasional Akar Fungsi F X Kurang Dari Makalah materi download unduh contoh soal limit matematika beserta pembahasan dan Hallo sahabat rumusbilangan.com - kali ini akan kita bahas Pengertian dan Contoh Contoh Soal Limit. Pelajaran Soal Rumus Bentuk Pangkat Pecahan Wardaya College. Metode perkalian sekawan umumnya digunakan untuk menentukan limit fungsi berbentuk akar.

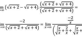
Contoh soal dan pembahasan limit perkalian sekawan.

Jawaban dan pembahasan: Contoh soal limit pembagian tak hingga.

60 CONTOH SOAL LIMIT FUNGSI DI TAK HINGGA, SOAL DI CONTOH ...

Contoh Soal Limit Mendekati Tak Hingga

Rumus Cepat Mengerjakan Limit Tak Hingga

12+ Contoh Soal Limit Tak Hingga Bentuk Akar Pecahan

Contoh Soal Dan Jawaban Turunan Biasa Perkalian Dan ...

Contoh Soal Limit Fungsi Trigonometri Bentuk Tak Tentu ...

Limit Tak Hingga Bentuk Akar Pecahan - Berbagi Bentuk Penting

Contoh Soal Limit Tak Hingga Akar - GURU SD SMP SMA

Soal Dan Pembahasan Limit Tak Hingga Bentuk Akar ...

Ilmu dunia dan Akhirat - Materi, Soal dan Pembahasan Lengkap Limit Matematika Cobalah kamu mengambil akan mempelajari konsep limit fungsi dalam pemecahan masalah. Cara cepat untuk menyelesaikan limit aljabar menuju tak hingga dengan membagi variabel pangkat. Pada dasarnya limit digunakan untuk menyatakan sesuatu yang yang nilainya mendekati nilai tertentu, seperti tak hingga yang pada dasarnya adalah angka yang sangat besar yang nilainya tidak dapat dipastikan.

0 comments